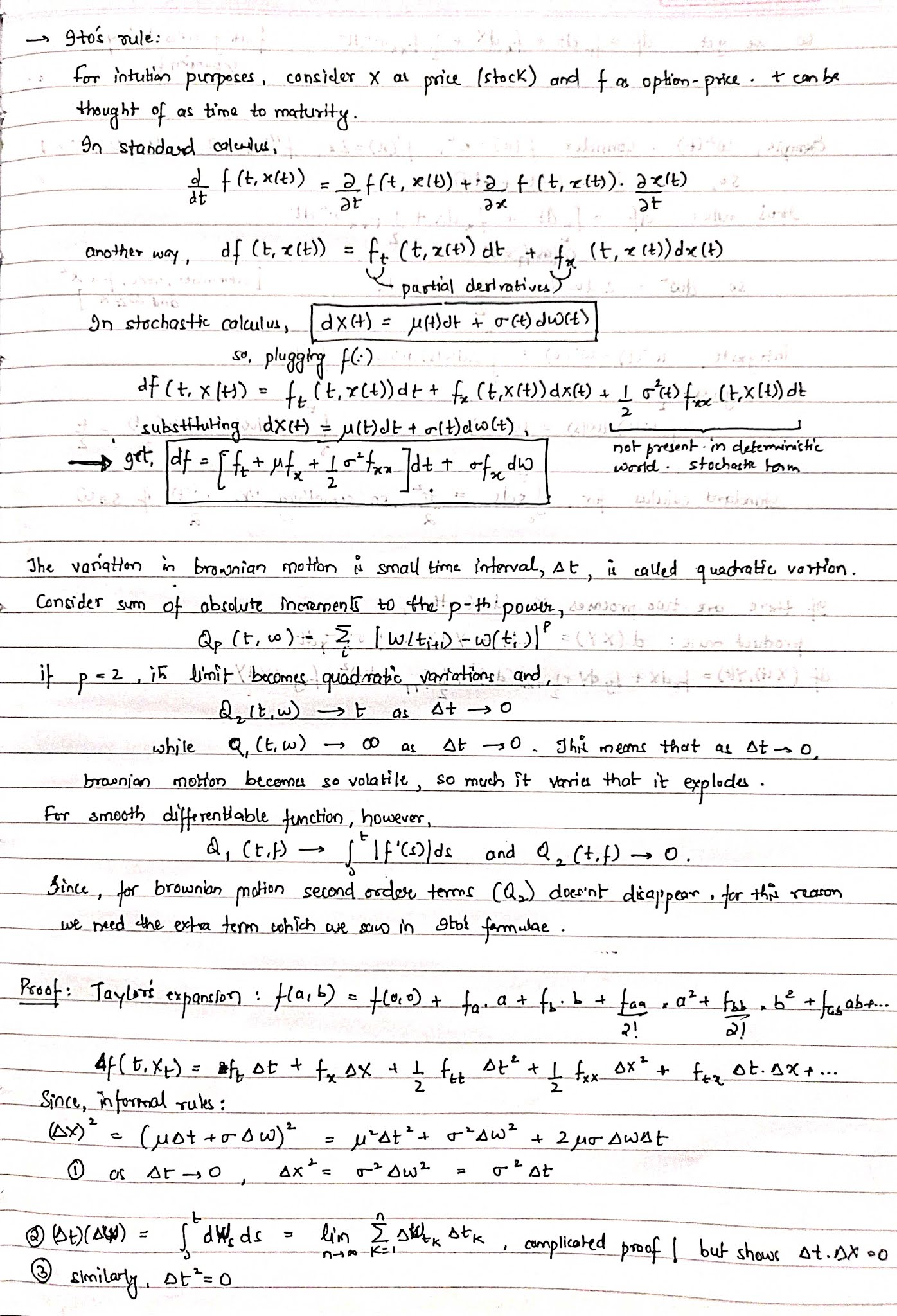
Introductory Ito's Calculus Get link Facebook X Pinterest Email Other Apps - May 01, 2021 Notes have been made on the basis of lecture BEM1105X - Caltech. Course playlist can be found here Get link Facebook X Pinterest Email Other Apps Comments
Comments
Post a Comment